Ryanair chiude le basi di Pescara e Alghero, e abbandona Crotone


Stato
Discussione chiusa ad ulteriori risposte.
forse mi sono espresso male:
Rayanir chiede di abbassare la tassa imposta dal Governo

SOLUZIONE: l'aumento lo accolliamo al prezzo del biglietto e siamo tutti felici.

Ma forse ha ragione l'amico nel post precedente: è meglio farsi pubblicità...tutti parlano di Ryanair

Che tu paghi 30 euro di ticket + 9 € di tassa o 39 € di ticket cosa cambia? Al consumatore finale sempre 39 € costa "il biglietto", perchè se ne frega di come le diverse componenti arrivano ai 39, si preoccupa solo di quanto gli esce dalle tasche complessivamente.
Quello che proponi tu è quello che (sotto sotto, ma è parere mio) cerca FR: mantenere i 39 €, incassandoli tutti senza doverne restituire 9.
 
forse mi sono espresso male:
Rayanir chiede di abbassare la tassa imposta dal Governo

SOLUZIONE: l'aumento lo accolliamo al prezzo del biglietto e siamo tutti felici.

Ma forse ha ragione l'amico nel post precedente: è meglio farsi pubblicità...tutti parlano di Ryanair
Ma perché secondo te a chi lo accollavano? Chiaro che lo mettono sul biglietto
 
Ma la questione delle imposte non si potrebbe fronteggiare introducendo una aliquota proporzionale con minimi e massimi invece che fissa per tutti?

Sarebbe una soluzione più equa rispetto alla situazione attuale, ma non la migliore soluzione possibile per non disincentivare il traffico aereo civile negli aeroporti italiani.

Idem rendere l'imposizione proporzionale al traffico, o comunque progressiva rispetto al traffico degli ultimi anni, sono soluzioni certo migliorative, ma non l'opzione migliore.

L'opzione migliore rimane togliere l'imposizione fiscale aeroportuale, quindi via addizionale sui diritti di imbarco dei passeggeri ed IVA relativa, ed idealmente anche l'IVA sui diritti/tasse.
 
Che tu paghi 30 euro di ticket + 9 € di tassa o 39 € di ticket cosa cambia? Al consumatore finale sempre 39 € costa "il biglietto", perchè se ne frega di come le diverse componenti arrivano ai 39, si preoccupa solo di quanto gli esce dalle tasche complessivamente.
Quello che proponi tu è quello che (sotto sotto, ma è parere mio) cerca FR: mantenere i 39 €, incassandoli tutti senza doverne restituire 9.

Sì, questo è il punto centrale della questione.

Il vettore LCC magari riesce a esprimere traffico latente su quella rotta a €39, ma ci perde, anche mettendo in conto gli ancillari (oppure in summer, o se non ha molti aerei, non il caso di FR, sceglie di aprire altrove). Ai gestori dei piccoli aeroporti dice: o mi restituite voi l'imposta che manda fuori mercato i vostri aeroporti, tramite il meccanismo del co-marketing, o le rotte non le apro.

Ovviamente, la soluzione ottimale, dal punto di vista dei gestori degli aeroporti minori, e dei rispettivi territori, è che il governo tolga la gabella aeroportuale, addizionale e relativa IVA.

Sono d'accordo con te che questo vada contro la strategia di favorire la chiusura degli aeroporti minori (e.g. se il governo veramente volesse far chiudere decine di questi, basterebbe aumentare l'imposizione fiscale aeroportuale a livelli insopportabili dai piccoli, al costo di deprimere il traffico aereo).
 
Ma perché secondo te a chi lo accollavano? Chiaro che lo mettono sul biglietto

Giustamente.

Anche oggi funziona così, i soldi del co-marketing vanno a restituire ai vettori LCC quanto questi raccolgono e devono girare all'INPS e compagnia.

Ovviamente pare ci siano casi in cui il co-marketing vale di più della gabella fiscale aeroportuale, e questi sono quegli aeroporti veramente fuori mercato allo stato attuale, indipendentemente dall'intervento statale che li manda ancor più fuori mercato.
 
Giustamente.

Anche oggi funziona così, i soldi del co-marketing vanno a restituire ai vettori LCC quanto questi raccolgono e devono girare all'INPS e compagnia.

Ovviamente pare ci siano casi in cui il co-marketing vale di più della gabella fiscale aeroportuale, e questi sono quegli aeroporti veramente fuori mercato allo stato attuale, indipendentemente dall'intervento statale che li manda ancor più fuori mercato.
Scusami per la franchezza: non diciamo caXXte. Alle compagnie aeree non frega una beata cippa se i costi che sostengono per atterrare in un apt sono tasse, diritti, fese o quello che vuoi. Hanno un conto economico che deve quadrare, da una parte i costi e dall'altra i ricavi. Il loro obiettivo è abbassare gli uni e alzare gli altri, a qualunque titolo e in qualunque modo. Se non ci fossero le tasse aeroportuali comunque chiederebbero i contributi agli apt minori, perché sanno di poterli ottenere dagli amministratori parapubblici disperati per pur di fare vedere che l'aeroportino sotto casa è vivo e vegeto sarebbero disposti a cedere anche il fondo della schiena (possibilmente altrui, ovviamente). E' tutto il sistema ad essere drogato e non sono le tasse di imbarco a spostare la questione.
 
Se non ci fossero le tasse aeroportuali comunque chiederebbero i contributi agli apt minori

Il governo è liberissimo, contestualmente alla rimozione delle gabelle aeroportuali, di proibire il co-marketing, sia da parte degli enti locali, che dei gestori.

Tra l'altro, personalmente ritengo le sovvenzioni ad personam (quelle concesse ad un singolo vettore e non a tutti i vettori) incostituzionali, sia quando concesse attraverso bando, che per trattativa privata.
 
non sono le tasse di imbarco a spostare la questione.

Ripeto per l'ennesima volta che le tasse di imbarco (i diritti aeroportuali) sono sacrosante, e non ho mai sostenuto debbano essere abolite (e non mi pare che l'attuale regolazione sia particolarmente malvagia, solo forse eccessivamente complessa).

Quello che osservo piuttosto è che le imposte d'imbarco (addizionale e relativa IVA al 10%) sono deleterie per lo sviluppo del traffico civile.

Anche qui in UK abbiamo una imposta simile, anzi di intensità più pesante, ed i vettori sono tra quelli che sostengono la campagna per farle togliere o ridurre:

A Fair Tax on Flying
 
Alle compagnie aeree non frega una beata cippa se i costi che sostengono per atterrare in un apt sono tasse, diritti, fese o quello che vuoi. Hanno un conto economico che deve quadrare, da una parte i costi e dall'altra i ricavi.

Ed appunto per questo, riprendendo l'esempio del volo da €39, se anche con tutti i ricavi ancillari non arrivano a ripagarsi i costi, non lo aprono.

Negli aeroporti minori i LF sono minori, ed i vettori devono spesso vendere i biglietti ad un prezzo minore.

Aneddoticamente, quando c'erano voli FR sia a TPS che a PMO in contemporanea per la stessa destinazione, quelli a TPS costavano leggermente meno, e si riempivano dopo.

Un aumento dell'imposizione fiscale aeroportuale colpirà sempre maggiormente TPS rispetto a PMO, ed in genere gli aeroporti minori rispetto a quelli con volumi di traffico maggiori.
 
Ed appunto per questo, riprendendo l'esempio del volo da €39, se anche con tutti i ricavi ancillari non arrivano a ripagarsi i costi, non lo aprono.

Negli aeroporti minori i LF sono minori, ed i vettori devono spesso vendere i biglietti ad un prezzo minore.

Aneddoticamente, quando c'erano voli FR sia a TPS che a PMO in contemporanea per la stessa destinazione, quelli a TPS costavano leggermente meno, e si riempivano dopo.

Un aumento dell'imposizione fiscale aeroportuale colpirà sempre maggiormente TPS rispetto a PMO, ed in genere gli aeroporti minori rispetto a quelli con volumi di traffico maggiori.
Da cittadino contribuente in questo paese, posso dirti che non mi interessa se TPS o chi per esso resta aperto se sono io, come detto cittadino contribuente, che ne deve pagare il costo? Anzi, ti dirò di più, che se davvero queste tasse fossero un mezzo per giungere a una razionalizzazione del sistema aeroportuale italiano, mi augurerei il loro incremento.
 
Da cittadino contribuente in questo paese, posso dirti che non mi interessa se TPS o chi per esso resta aperto se sono io, come detto cittadino contribuente, che ne deve pagare il costo?

Speculare alla mia posizione: da cittadino contribuente non voglio pagare i costi necessari per neutralizzare localmente gli effetti di una imposta decisa dal governo centrale. Se il governo centrale decide che la collettività debba sovvenzionare gli ammortizzatori sociali di una categoria di lavoratori, vada a chiedere le risorse alla collettività generale, non a me cittadino contribuente di Alghero, Brindisi, Comiso, Crotone, Reggio, Trapani.

Anzi, ti dirò di più, che se davvero queste tasse fossero un mezzo per giungere a una razionalizzazione del sistema aeroportuale italiano, mi augurerei il loro incremento.

Opinione più che legittima. In un mondo ideale, mi piacerebbe poter sapere quali politici e partiti la condividono, così da non votarli, e fargli campagna elettorale contro.
 
Speculare alla mia posizione: da cittadino contribuente non voglio pagare i costi necessari per neutralizzare localmente gli effetti di una imposta decisa dal governo centrale. Se il governo centrale decide che la collettività debba sovvenzionare gli ammortizzatori sociali di una categoria di lavoratori, vada a chiedere le risorse alla collettività generale, non a me cittadino contribuente di Alghero, Brindisi, Comiso, Crotone, Reggio, Trapani.
Credo che ti sfugga il particolare che non vieni tassato in quanto residente a Reggio o Comiso o a inculandia, ma in quanto usufruisci del trasporto aereo con aeroporto di imbarco in Italia, la differenza non è da marginale
 
bruh.jpg
 
saluti a tutti!

L'addizionale comunale non ha altro scopo che finanziare il Fondo Speciale per il Trasporto Aereo, a meno di €1 che si perde in vari rivoli (VVF, comuni aeroportuali, etc.). Non contribuisce pertanto a razionalizzare il settore aeroportuale e di sicuro non la pagano i vettori visto che è integralmente ribaltata sui passeggeri.

Che poi incida diversamente su un biglietto LCC rispetto ad una tariffa J per la luna è abbastanza banale, ma occorrerebbe valutare l'elasticità prezzo di ogni singolo mercato.

In realtà dall'incontro con Del Rio, MOL ha strappato qualcosa a cui teneva molto di più, ovvero la ridefinizione complessiva del quadro normativo che dal decreto "anti-Ryanair" in avanti aveva comportato condizioni meno favorevoli per il loro modello di business.

Gli amministratori locali che hanno partecipato all'incontro hanno invece, giustamente, sottolineato al ministro che i vettori (la musica non cambia tra LCC o legacy) chiedono in ogni caso agli scali minori la copertura economica di tale addizionale (ed altro..) mentre non lo fanno necessariamente sugli scali maggiori e che pertanto l'addizionale dovrebbe essere in qualche modo rimodulata.

Nel 2016, gli aeroporti "Assaeroporti" sotto al 1Mppa hanno totalizzato 3,3Mpax (con Rimini, Lampedusa e Pantelleria siamo a circa 4Mpax) su 157Mpax totali, ovvero circa il 2% del traffico. Se anche l'addizionale fosse un poco più bassa all'INPS non morirebbero di fame....
 
Nel 2016, gli aeroporti "Assaeroporti" sotto al 1Mppa hanno totalizzato 3,3Mpax (con Rimini, Lampedusa e Pantelleria siamo a circa 4Mpax) su 157Mpax totali, ovvero circa il 2% del traffico. Se anche l'addizionale fosse un poco più bassa all'INPS non morirebbero di fame....

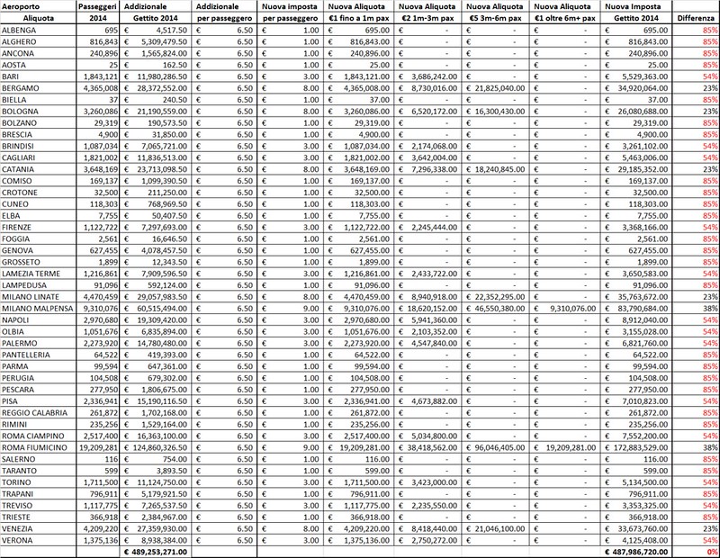
Su loro richiesta, ho proposto ad un paio di politici una mozione per rendere, a parità di gettito atteso (con l'addizionale a €6,50), progressiva l'imposizione fiscale usando come parametro la media degli imbarchi degli ultimi tre anni:

impegna il governo:

• a separare in maniera più chiara e comprensibile i tre distinti aspetti fiscali della "addizionale comunale sui diritti d'imbarco di passeggeri sulle aeromobili" in questione, distinguendo chiaramente le tre componenti che attualmente vengono confusamente regolate da una legislazione figlia di successive evoluzioni: la tassa a favore dei Comuni nel cui territorio insista o risulti confinante un sedime aeroportuale, l’imposta a favore del Ministero dell’Interno e l’imposta volta ad alimentare le casse dell’INPS.
• a trasformare la "addizionale comunale sui diritti d'imbarco di passeggeri sulle aeromobili" sostituendola con una “imposta sui diritti d'imbarco di passeggeri sulle aeromobili”.
• a rendere la nuova imposta progressiva, pur senza avere effetti sul gettito atteso della precedente “addizionale”, riscuotendo ad imbarco:
o 1 Euro negli aeroporti in cui negli ultimi 3 anni la media annua degli imbarchi sia stata inferiore a 1 milione.
o 3 Euro negli aeroporti in cui negli ultimi 3 anni la media annua degli imbarchi sia stata inferiore a 3 milioni.
o 8 Euro negli aeroporti in cui negli ultimi 3 anni la media annua degli imbarchi sia stata inferiore a 6 milioni.
o 9 Euro negli aeroporti in cui negli ultimi 3 anni la media annua degli imbarchi sia stata superiore a oltre 6 milioni.

• a permettere alle Regioni di legiferare per farsi carico, tramite proprie risorse, di una parte o di tutta la nuova imposta e dell’IVA corrispondente, limitatamente agli imbarchi nei voli verso i paesi della UE tra il 1 Ottobre ed il seguente 31 Marzo, a favore però in ogni caso di tutti i vettori operanti in tutti gli aeroporti della Regione in questione.
• a destinare lo 0,25 di quanto incassato ai soggetti tenuti alla riscossione della nuova imposta a titolo di ristoro per le spese di riscossione e comunicazione.
• a destinare lo 1 per cento del gettito al netto delle spese di riscossione di tale nuova imposta ai Comuni nel cui territorio insista o risulti confinante un sedime aeroportuale, ed a fare in modo che siano direttamente i soggetti tenuti alla riscossione di tale imposta ad erogare mensilmente ai Comuni le rispettive quote spettanti sugli imbarchi del mese precedente.
• a destinare il 22 per cento al netto delle spese di riscossione di tale nuova imposta al Ministero dell’Interno per il il finanziamento di misure volte alla prevenzione ed al contrasto della criminalità e al potenziamento della sicurezza nelle strutture aeroportuali e nelle principali stazioni ferroviarie e per ridurre il costo a carico dello Stato del servizio antincendi negli aeroporti.
• a destinare il 77 per cento al netto delle spese di riscossione di tale nuova imposta alle casse dell’INPS, finché non si troveranno le risorse per permettere l’abolizione di tale componente, o qualora ne venisse meno la necessità.
• a vietare a tutte le pubbliche amministrazioni dello stato, incluse le Regioni e gli enti locali, di sovvenzionare in alcun modo i vettori sia in maniera diretta che attraverso le società di gestione aeroportuale che tramite controllate o partecipate, e sia tramite bandi o meno, con particolare riferimento ai cosiddetti contratti di co-marketing, questo per evitare distorsioni del mercato o favoritismi verso particolari vettori.
• a vietare a tutte le pubbliche amministrazioni dello stato, incluse le Regioni e gli enti locali, di farsi carico in alcun modo dei diritti di imbarco passeggeri e dell’IVA corrispondente.
• a permettere alle Regioni di legiferare per farsi carico, tramite proprie risorse, di una parte o di tutta la “imposta sui diritti d'imbarco di passeggeri sulle aeromobili” e dell’IVA corrispondente, a favore però in ogni caso di tutti i vettori operanti in tutti gli aeroporti della Regione in questione.
• a permettere alle Regioni di legiferare per farsi carico, tramite proprie risorse, di una parte o di tutto il contributo per la copertura dei costi del servizio di controllo di sicurezza relativo ai passeggeri ed al bagaglio a mano al seguito e dell’IVA corrispondente, a favore però in ogni caso di tutti i vettori operanti in tutti gli aeroporti della Regione in questione.
• a permettere alle Regioni di legiferare per farsi carico, tramite proprie risorse, di una parte o di tutta la tariffa per il controllo di sicurezza sul 100% dei bagagli da stiva e dell’IVA corrispondente, a favore però in ogni caso di tutti i vettori operanti in tutti gli aeroporti della Regione in questione.
• a permettere alle Regioni di legiferare per farsi carico, tramite proprie risorse, di una parte o di tutto il corrispettivo per i servizi di assistenza per i passeggeri a mobilità ridotta e dell’IVA corrispondente, a favore però in ogni caso di tutti i vettori operanti in tutti gli aeroporti della Regione in questione.

ho anche allegato uno scenario che mostra gli effetti (sempre a quota €6,50), a parità di gettito:

Imposta aeroportuale progressiva by Aledeniz, on Flickr

Personalmente continuo a ritenere che avrebbe senso rimuovere quell'imposta per tutti i tipi di aeroporti.
 
Gli amministratori locali che hanno partecipato all'incontro hanno invece, giustamente, sottolineato al ministro che i vettori (la musica non cambia tra LCC o legacy) chiedono in ogni caso agli scali minori la copertura economica di tale addizionale (ed altro..) mentre non lo fanno necessariamente sugli scali maggiori e che pertanto l'addizionale dovrebbe essere in qualche modo rimodulata.

Che è essenzialmente quanto da me osservato e spiegato da anni.
 
Trovo di estrema semplicitá ed efficacia chiudere tutti quegli aeroporti che:

Non rivestano utilitá sociale per posizionamento o distanza da scalo alternativo;
Non riescono a chiudere un bilancio in pareggio;
Servono solo ed esclusivamente a fare "sedere" inutili presidenti, vice presidenti, consiglieri e revisori dei conti.

Trovo altresì semplice ed indolore accorpare in un'unica struttura quegli aeroporti che si fanno la guerra per sopravvivere in bacini di utenza inidonei a reggere 3/4/5 strutture posizionate a poca distanza l'una dall'altra.

Con i risparmi attesi, incentivare l'apertura delle rotte indispensabili e utili al territorio, ed implementare i collegamenti con i centri e le province del circondario.
 
Credo che ti sfugga il particolare che non vieni tassato in quanto residente a Reggio o Comiso o a inculandia, ma in quanto usufruisci del trasporto aereo con aeroporto di imbarco in Italia, la differenza non è da marginale

Si, ma dato che l'imposta gentilmente introdotta dal governo centrale rende il mio aeroporto di riferimento meno appetibile di quanto poco già lo sia, fino a mandarlo fuori mercato, i miei rappresentanti locali, da me in questo supportati, per tenerlo aperto useranno i miei tributi per annullare l'effetto dell'imposta statale.

Quindi per gli aeroporti minori sostanzialmente i pax pagano il biglietto allo stesso prezzo che pagherebbero in qualsiasi caso, i vettori raccolgono l'addizionale, la girano all'INPS e contestualmente se la fanno restituire dal gestore o chi per lui quindi in ultima istanza la pagano stakeholder privati e pubblici, alla fine almeno parzialmente la vado a pagare io contribuente del territorio servito dall'aeroporto minore.

Il mio interesse di contribuente diventa quindi quello di vedere tale imposta mitigata, rimodulata o tolta.

Ovviamente, se supportassi invece l'opinione che in Italia dovessero rimanere aperti soltanto una dozzina di aeroporti, probabilmente chiederei di portare l'addizionale a 50 Euro ad imbarco.
 
Con i risparmi attesi, incentivare l'apertura delle rotte indispensabili e utili al territorio, ed implementare i collegamenti con i centri e le province del circondario.

Esempio: ripristinare la Trapani-Alcamo Diramazione costa 50 milioni di Euro, modernizzare la Punta Raisi-Trapani miliardi. Accontentiamoci del ripristino, che si dovrebbe fare in ogni caso: con 50 milioni di Euro ci si paga la base FR a TPS per 9 anni. Tra l'altro, oltre il ripristino, bisognerà poi trovare i soldi per comprare i treni-km, risorse che al momento in Sicilia non ci sono, e che comunque sono paragonabili al costo di mantenimento della base FR a TPS. Idem per quanto riguarda il gommato. Ai costi che si desumono dal bilancio AIRGEST pubblicato, non c'è assolutamente nessuna convenienze per il contribuente a far chiudere TPS per spostare i voli a PMO, una volta aggiunti nell'equazione i costi del TPL.

Ovviamente, questo potrebbe non essere vero altrove, le cifre per il co-marketing che ho letto in questo thread per Pescara sono molto più alte.
 
Esempio: ripristinare la Trapani-Alcamo Diramazione costa 50 milioni di Euro, modernizzare la Punta Raisi-Trapani miliardi. Accontentiamoci del ripristino, che si dovrebbe fare in ogni caso: con 50 milioni di Euro ci si paga la base FR a TPS per 9 anni. Tra l'altro, oltre il ripristino, bisognerà poi trovare i soldi per comprare i treni-km, risorse che al momento in Sicilia non ci sono, e che comunque sono paragonabili al costo di mantenimento della base FR a TPS. Idem per quanto riguarda il gommato. Ai costi che si desumono dal bilancio AIRGEST pubblicato, non c'è assolutamente nessuna convenienze per il contribuente a far chiudere TPS per spostare i voli a PMO, una volta aggiunti nell'equazione i costi del TPL.

Ovviamente, questo potrebbe non essere vero altrove, le cifre per il co-marketing che ho letto in questo thread per Pescara sono molto più alte.
Ma sei serio?
Quindi vuoi dire meglio dare 50 mil a Ryan piuttosto che fare una strada o un collegamento ferroviario statale?
 
Stato
Discussione chiusa ad ulteriori risposte.